Определите число квадратов, на которые можно разрезать прямоугольник:
а) 18 × 5;
б) 28 × 11;
в) 157 × 44,
используя алгоритм Евклида.

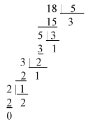
18 × 5

Прямоугольник можно разрезать на 3 квадрата со стороной 5 см, 1 квадрат со стороной 3 см, 1 квадрат со стороной 2 см и 2 квадрата со стороной 1 см.
Всего 7 квадратов
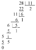
28 × 11

Прямоугольник можно разрезать на 2 квадрата со стороной 11 см, 1 квадрат со стороной 6 см, 1 квадрат со стороной 5 см и 5 квадратов со стороной 1 см.
Всего 9 квадратов.
157 × 44

Прямоугольник можно разрезать на 3 квадрата со стороной 44 см, 1 квадрат со стороной 25 см, 1 квадрат со стороной 19 см, 3 квадрата со стороной 6 см и 6 квадратов со стороной 1 см.
Всего 14 квадратов.